Patrocinador oficial:

__________________________________________________________________________________________________________________________

Coluna 'Ver para Crer' (BEQ.2019.7): apagando incêndios com disparos de ar e pó de extintor a mais 400 km/h, em alternativa ao uso e transporte de água

IFEX 3000 Impulse Fire Extinguisher

* * *

Corroborando a máxima de que uma imagem vale mais que mil palavras, a coluna 'Ver para Crer' BEQ tem por objetivo divulgar conteúdos multimédia cativantes que possam elucidar dos diferentes fenómenos e contextos em que a engenharia química tenha uma palavra a dizer, seja de forma direta ou meramente simbólica.

Sobre o jogo 'Molecule – A Chemical Challenge', um puzzle de estruturas moleculares à distância de um smartphone




Molecule – A Chemical Challenge

Aprenda sobre os blocos de construção fundamentais do universo neste jogo viciante.

Coloque suas habilidades visual-espaciais à prova enquanto compete com jogadores de todo o mundo para construir moléculas a partir de átomos usando o menor número de etapas. 

Mas cuidado, este jogo não é fácil. Você precisará de puxar pelo cérebro para resolver com sucesso estes níveis. 


Características:

  • Construa moléculas a partir de átomos;
  • Teste sua habilidade visual-espacial;
  • Competir com jogadores em todo o mundo para uma solução com o menor número de etapas;
  • Aprenda factos divertidos sobre ciência com todos os níveis que você completa;
  • Mais de 40 níveis e moléculas únicas, inúmeros átomos, placas de rotação, gatilhos e diversão na forma de quebra-cabeças desafiantes estão à sua espera!

Revista semanal de imprensa (BEQ.2019.6): Total nas renováveis em Portugal, baterias de grafeno, Amorim investe em mais cortiça, e comunicar melhor ciência




A Total venceu a corrida à compra da Novenergia, o quarto maior produtor de energias limpas em Portugal, com uma oferta superior a 600 milhões de euros. Entre os grupos que também disputavam a aquisição da empresa de energias limpas estavam a estatal chinesa Datang, o fundo norte-americano Contour Global e a Finerge (outro dos grandes produtores de energia eólica em Portugal).


É uma das novidades da Energizer na feira de tecnologias móveis que decorre em Barcelona. Com este smartphone, é possível ouvir 100 horas seguidas de música e pode mesmo aguentar 50 dias sem precisar de ser carregado.

A Corticeira Amorim vai investir sete a 10 milhões de euros, nos próximos três anos, na plantação de sobreiros. A meta do grupo é plantar 50 mil hectares em Portugal na próxima década, o que corresponde a um aumento da área total de montado de sobro do país em 7%, mas permitirá aumentar em cerca de 30% a produção de cortiça.


Três faculdades da Universidade do Porto (U.Porto) juntam-se num curso que visa “criar uma cultura de comunicação” e facultar a investigadores e estudantes de doutoramento ferramentas que lhes permitam “comunicar a ciência”, adiantou hoje o responsável.

Sobre a força de arrasto (atrito) e a vantagem de praticar ciclismo em grupo para uma boa gestão do esforço individual





Um pelotão de ciclismo consiste num grupo de ciclistas que circulam juntos para reduzir o arrasto aerodinâmico e com isso o gasto individual de energia. Estudos prévios em pequenos grupos de ciclistas de desenho em linha mostraram reduções de até 70 a 50% do arrasto de um ciclista isolado na mesma velocidade e esses valores também foram usados para pelotões. No entanto, dentro de um pelotão bem compactado com várias filas de ciclistas a fornecer abrigo, maiores reduções de arrasto podem ser esperadas. 

(...) A força de arrasto calculada para um ciclista isolado à mesma velocidade (15m / s) é 40,33 N. Para todas as subconfigurações, o ciclista líder tem o maior arrasto, que é 96 % ou 98 % do piloto isolado. Na subconfiguração 1, os dois pilotos na segunda linha têm um arrasto de cerca de 70 a 75% do do corredor isolado. Cada um deles tem um arrasto diferente, devido à assimetria dos ciclistas (uma perna está na frente da outra). O ciclita à direita é protegido pelos três pilotos principais e experimenta o menor arrasto, que é 43 % do piloto isolado. Para a subconfiguração 2, o segundo e o terceiro elemento têm um arrasto de 60 % e 52 % do ciclista isolado, respectivamente. Finalmente, para a subconfiguração 3, os pilotos à direita têm um arrasto decrescente monótono, até 46 % do do corredor isolado para o quarto da linha.

__________
B. Blocken, T.v. Druenen, Y. Toparlar, F. Malizia, P. Mannion, T. Andrianne, T. Marchal, G.-J.
 Maas, J. Diepens, Aerodynamic drag in cycling pelotons: New insights by CFD simulation and wind tunnel testing, Journal of Wind Engineering and Industrial Aerodynamics, 179 (2018) 319-337,





Arrasto (Drag) em Alta Velocidade

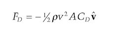
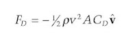
A equação de arrasto calcula a força experimentada por um objeto que se move através de um fluido em velocidade relativamente alta (ou seja, elevado número de Reynolds, Re > 1000), também chamado de arrasto quadrático. A equação é atribuída a Lord Rayleigh (…).

A força de arrasto (FD) num objeto em movimento devido a um fluido é:


onde ρ é a densidade do fluido, v é a velocidade do objeto em relação ao fluido, A é a área de referência, CD é o coeficiente de arrasto (um parâmetro adimensional, por exemplo, 0.25-0.45 para um carro), e é o vetor unitário indicando a direção da velocidade, e onde sinal negativo indica que o arrasto é oposto ao da velocidade).

A área de referência A é geralmente definida como a área da projeção ortogonal do objeto em um plano perpendicular à direção do movimento (por exemplo, para objetos com uma forma simples, como uma esfera, essa é a área da seção transversal).

_________________

Fonte: R.T. Patil, D.M. Kadam, Hot Air Drying Design: Fluidized Bed Drying, Handbook of Food Process Design , John Wiley & Sons, 2012

Sobre a produção de neve artificial para fins de turismo e desporto de inverno: aspectos técnicos e algumas características e factos sobre esta prática




A tecnologia de produção de neve envolve o uso de nucleadores que produzem uma mistura de água e ar comprimido que forma núcleos de neve (nuclídeos) ao entrar na atmosfera. Os bocais dos canhões de neve atomizam a água em gotículas finas que se combinam com os nuclídeos e congelam na forma de pequenos cristais de neve a caminho do chão. Esta queda é simulada diferentemente por diferentes tipos de canhões de neve. Os canhões de ventoinha são equipados com um ventilador de ar para este propósito, enquanto as lanças de neve recorrem à queda natural de um alturas de até 10 metros.

Tal como acontece com a queda de neve natural, a temperatura do ar e a humidade do ar precisam de cumprir certos requisitos para a produção técnica (artificial) de neve. O termo usado na tecnologia de produção de neve é, portanto, a temperatura de bulbo húmido, que expressa a razão entre a temperatura e a humidade relativa do ar. A temperatura de bulbo húmido está sempre abaixo da temperatura externa. Quanto mais húmido está o ar, menor a quantidade de água que ele pode ainda absorver, e mais baixa a temperatura tem de estar para formar cristais de neve a partir das finas gotas de água.



Os canhões de neve da TechnoAlpin começam a produzir neve a partir de uma temperatura de bulbo húmido de -2,5 ° C. Caso a humidade atmosférica seja muito baixa, esse nível pode ser alcançado com temperaturas ligeiramente acima de 0 ºC, mas se a humidade do ar for alta, temperaturas abaixo de zero são necessárias.

As temperaturas em torno do ponto de congelamento são referidas como temperaturas limítrofes ou temperaturas limite. A temperatura da água também é um fator chave, especialmente nessas temperaturas limite. Torres de arrefecimento são usadas para atingir a temperatura ideal da água e aumentar a eficiência de um sistema de produção artificial de neve.

Fonte: Techno Alpin


Algumas características e factos adicionais sobre a produção de neve artificial: 


  • Com uma densidade de 300-500 kg / m³, a neve artificial é quatro vezes mais dura que a neve natural (De Jong, C. 2010).
  • Substâncias adicionais podem ser misturadas à água para manter a neve artificial a temperaturas acima de 0 ° C.  [...] Por exemplo, em algumas regiões dos Alpes, a bactéria americana Pseudomonas syringae é introduzida no água para poder produzir neve artificial a temperaturas mais altas. As bactérias são inativados por radiação e então utilizadas como germes de cristalização para poupar energia (ROCHLITZ 1989 em Doering, A. et al (1996)). O uso dessas bactérias é proibido na Alemanha, mas geralmente é difícil de detetar;
  • Os investimentos em sistemas de neve artificial podem requerem entre 15 e 20 anos de amortização, tendo em conta pelo menos 100 dias por ano de neve com temperaturas abaixo de -3 ° C;
  • A produção de neve artificial de um m³ custa 2,50 €, incluindo trabalho de escavação e nivelamento, eletricidade para compressores e canhões, e compactação (Canardages (2010));
  • A criação de neve artificial visou inicialmente a compensação pela falta de cobertura com neve natural , mas evoluiu para um procedimento de rotina com vista a cobrir pistas de esqui inteiras antes do início da queda de neve natural para garantir a certeza da neve durante toda a temporada (dezembro a abril) (Bürki et al 2008 in De Jong, C. (2009)).
and economical aspects, 2017, University of Life Sciences and Natural Resources Vienna, Austria

Coluna 'Ver para Crer' (BEQ.2019.6): acendendo a chama da flare com um método manual muito pouco ortodoxo e seguro




* * *

Corroborando a máxima de que uma imagem vale mais que mil palavras, a coluna 'Ver para Crer' BEQ tem por objetivo divulgar conteúdos multimédia cativantes que possam elucidar dos diferentes fenómenos e contextos em que a engenharia química tenha uma palavra a dizer, seja de forma direta ou meramente simbólica.

Sobre o 9º aniversário do projeto BEQ, e o (nunca demais) obrigado por estar desse lado a contribuir para o sucesso desta iniciativa




Hoje o BEQ está de parabéns. Nove vezes!
Diz a máxima que o caminho se faz andando, e assim tem sido o percurso por aqui.

O BEQ está feliz por tê-lo como leitor, subscritor ou visitante, e espera que permaneça vinculado por mais um ano, para ajudar a soprar o dobro das velas deste ano (e mesmo que pelo ecrã).

Não se esqueça também de subscrever as Newsletters mensais BEQ e assim tirar total partido dos conteúdos que por aqui se produzem. A de Fevereiro está quase a sair, e pode garantir que a recebe em primeira mão inscrevendo-se aqui.

De resto, muito obrigado por ajudar a construir uma comunidade pública em língua portuguesa em torno da área científica e profissional que é a engenharia química, tarefa que muito motiva o BEQ a continuar a trilhar o seu caminho.

(fundador e editor do BEQ)

* * * 


Revista semanal de imprensa (BEQ.2019.5): neve negra, Argentina e Vale travam Brasil, novo coordenador de Engª Química, e fábrica da Ferrero pára produção


A cidade russa de Kemerovo, na Sibéria, está a ser afetada por um fenómeno raro: em vez de branca, a neve que cobre as ruas, as habitações e as árvores é negra. Esta é uma consequência da forte poluição registada nesse centro industrial e noutras cidades da zona.

A indústria brasileira fechou 2018 com resultado decepcionante, um crescimento de apenas 1,1%. E, segundo analistas, 2019 não deve ser tão diferente. A recessão argentina e a redução na produção da Vale em decorrência do rompimento da barragem em Brumadinho já fazem economistas reverem, para baixo, as projeções de crescimento do setor para este ano.



O Eng. de Plástico Luís Sidnei Barbosa Machado, coordenador da Câmara Especializada de Engenharia Química do CREA-RS, foi eleito coordenador nacional das Câmaras Especializadas de Engenharia Química., durante o Encontro de Líderes que ocorreu em Brasília. Afirma que buscará o fortalecimento das Câmaras de Engenharia Química no Brasil.


O grupo italiano Ferrero interrompeu temporariamente as atividades na maior fábrica de produção de Nutella do mundo, devido a um problema de qualidade que surgiu esta semana. Localizada na região francesa da Normandia, a fábrica produz um terço de todos os potes de Nutella vendidos globalmente, segundo o site da empresa.

Sobre o investimento de US $ 10 milhões da Volkswagen na start-up Forge Nano., e baterias elétricas melhoradas a partir de deposição em camada atómica



O Grupo Volkswagen pretende investir US $ 10 milhões na startup “Forge Nano Inc.” com o objetivo de reforçar o seu conhecimento especializado no domínio de investigação em baterias. A Forge Nano está a investigar uma tecnologia de revestimento de materiais que pode melhorar ainda mais o desempenho de baterias elétricas. Enquanto parceira, a Volkswagen fornecerá suporte para testes industriais desta tecnologia. A transação ainda está sujeita à aprovação das autoridades.

A Volkswagen tem colaborado com a Forge Nano desde 2014 na investigação avançada de materiais para baterias . A startup com sede em Louisville, Colorado, investiga processos para o aumento de escala da tecnologia de deposição em camada atómica (ALD) para criar novos materiais do tipo core-shell, especialmente para aplicação em baterias. A tecnologia ALD é um processo químico para aplicação de revestimentos à escala atômica, um átomo de cada vez. Com a sua tecnologia ALD específica, a Forge Nano visa aumentar a densidade de energia das células de bateria de veículo automóveis, a qual teria efeitos positivos na autonomia de veículos elétricos. A Volkswagen tem partilhado os seus conhecimentos em matérias de automóveis e baterias para os esforços de investigação aplicada da Forge Nano.

Segundo Axel Heinrich, chefe da Volkswagen Group Research: “Na Volkswagen, queremos ser o fornecedor líder mundial de mobilidade elétrica. Estamos continuamente a expandir o know-how de tecnologias de bateria necessário para essa finalidade. Precisamos de salvaguardar a nossa competência tecnológica para o futuro. A cooperação com start-ups é um elemento-chave nesses esforços. Estamos a atuar como parceiros da Forge Nano e pretendemos oferecer à equipa oportunidades para realizar testes industriais com sua tecnologia inovadora”.

Já Paul Lichty, fundador e CEO da Forge Nano, afirma: “A nossa tecnologia de engenharia de superfícies de precisão atómica está a inaugurar uma nova era para os materiais de alto desempenho. Estamos entusiasmados por fazer parceria com uma empresa que tem um compromisso tão forte de comercializar esta inovação ”.

Fonte: Forge Nano


A corrida por vantagem de desempenho em baterias elétricas para automóveis



Segundo a empresa, os dados sobre a qualidade dos revestimentos produzidos pela Forge Nano em baterias de iões de lítio mostram que:

  • Se ativados pela tecnologia ALD, os materiais usados como cátodo e ânodo, aumentam a vida útil da bateria em até 200%;
  • 20% maior capacidade da bateria em células de grande formato (40 Ah); 
  • 60% de redução na geração de gases no material catódico;
  • Um pó catódico de alta voltagem de baixo custo com desempenho excecional;
  • Usando os revestimentos eletrolíticos da Forge Nano, observa-se uma maior capacidade que os materiais convencionais para carga rápidas.  

Argumentos comparativos de desempenho invocados pela Forge Nano.

Sobre perigos ambientais inesperados causados pelo maior complexo do mundo de energia solar térmica (EUA) para com as aves que sobrevoam a instalação




Quando pensamos nos perigos ambientais que o aproveitamento de energia solar pode encerrar, dificilmente nos acharemos estar perante cenários de maior risco do que os da queima de gás natural ou carvão, ou mesmo da energia nuclear, desde logo porque a fonte de energia é sustentável e tudo que a envolve parece mais "verde".

Acontece que uma fonte de energia pode ser sustentável mas a sua forma de exploração não o ser para determinadas populações de seres vivos implicados nessa iniciativa. Vem isto a propósito dos problemas reportados na central solar conhecida por IVANPAH situada no deserto de Mojave, sito no estado da Califórnia (EUA). Em operação desde 2013 na qualidade de maior complexo de energia solar térmica, o projeto vê-se a braços com o inesperado problema de relação com a fauna local.

Pese embora o seu contributo de 377 MW de energia elétrica para a rede, capaz de abastecer mais de 140 mil residências domésticas nos picos de consumo diários, e apesar das 400 mil toneladas de CO2 que evita lançar na atmosfera todos anos, o projeto está a ser postos em causa porque produz danos colaterais severos nas populações de aves que habitam ou se cruzam com a /na sua localização. 

As estimativas existentes variam muito, mas calcula-se que desde a sua abertura o complexo possa ter sido responsável pela morte de até 28 mil aves, e o motivo é bizarro mas explicável caso se perceba o modo funcionamento deste complexo solar. Equipado com milhares de espelhos instalados no solo e com uma orientação espacial variável e controlada por computador do modo a maximizar a exposição solar, forma-se um efeito "lupa" que concentra o fluxo de calor num ponto único - a caldeira - no qual água é convertida em vapor, e este faz depois funcionar uma turbina capaz de gerar energia elétrica. Assim se consegue "colher" energia solar, e assim também, e inesperadamente, se estão a queimar aves à taxa de uma a cada 2 minutos.


O problema está sinalizado, não parece ter sido antecipado por quem concebeu a tecnologia, e vem mostrar que a procura de fontes de energia limpa pode inadvertidamente criar problemas ambientais outrora inexistentes nos paradigmas energéticos que vêm substituir. No cômputo geral, e enquanto soluções para o problema estão a ser procuradas, importa recordar a publicação Sobre o rótulo ecológico de "verde" ser um processo e não um status definitivo, segundo Daniel Goleman, onde este  autor refere que nada do que é feito industrialmente pode ser totalmente "verde", apenas relativamente; (...) cada processo de fabricação tem impactos adversos em sistemas naturais em algum ponto ao longo do caminho. Como me confidenciou um ecologista industrial, "o termo 'amigo do ambiente' nunca deve ser usado. Qualquer coisa fabricada é-o apenas relativamente.

Fonte: Syracuse 

Related Posts Plugin for WordPress, Blogger...